เงินตอบแทนตำแหน่งกำนัน ผู้ใหญ่บ้าน แพทย์ประจำตำบล สารวัตรกำนัน ผู้ช่วยผู้ใหญ่บ้านฝ่ายปกครอง และผู้ช่วยผู้ใหญ่บ้านฝ่ายรักษาความสงบ

8 เม.ย. 2562 เวลา 16:58 | อ่าน 130,503
 
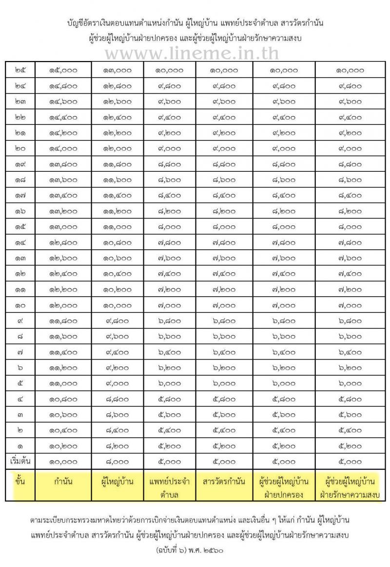
อัตราเงินเดือนหรือค่าตอบแทนตำแหน่งกำนัน ผู้ใหญ่บ้าน

อัตราเงินเดือนหรือค่าตอบแทนตำแหน่งกำนัน ผู้ใหญ่บ้าน แพทย์ประจำตำบล สารวัตรกำนัน ผู้ช่วยผู้ใหญ่บ้านฝ่ายปกครอง และผู้ช่วยผู้ใหญ่บ้านฝ่ายรักษาความสงบ (ตารางเงินเดือนอยู่ด้านล่าง)


เงินเดือนผู้ใหญ่บ้าน กำนัน ผู้ช่วยผู้ใหญ่บ้าน
เงินเดือนผู้ใหญ่บ้าน กำนัน ผู้ช่วยผู้ใหญ่บ้าน

เงินเดือนผู้ใหญ่บ้าน กำนัน ผู้ช่วยผู้ใหญ่บ้าน
เงินเดือนผู้ใหญ่บ้าน กำนัน ผู้ช่วยผู้ใหญ่บ้าน

ประกาศราชกิจจานุเบกษา http://www.ratchakitcha.soc.go.th/DATA/PDF/2560/E/114/1.PDF

8 เม.ย. 2562 เวลา 16:58 | อ่าน 130,503
กำลังโหลด ...


รีวิวบ้านใหม่ ไอเดียสร้างบ้าน
 
แชร์
L
ซ่อน
แสดง
มาใหม่
ทหารอาสา คืออะไร
1,774 17 ก.พ. 2569
กอช. เติมความรักต้อนรับวาเลนไทน์ จับมือ 3 พันธมิตร TrueMoney - myAIS - ShopeePay ชวนคนไทยออมเงินสร้างบำนาญ
37 16 ก.พ. 2569
กรมบัญชีกลางอำนวยความสะดวกให้ข้าราชการและลูกจ้างประจำ ตรวจสอบข้อมูลเงินได้และภาษีหัก ณ ที่จ่าย ปี 68 ผ่านระบบ D-MyTax ก่อนยื่นภาษี
65 10 ก.พ. 2569
กอช. จับมือ my AIS ร่วมส่งเสริมการออม จัดแคมเปญ “ออมเงินง่ายๆ อุ่นใจได้ลุ้นทอง” รางวัลมูลค่ารวมกว่า 200,000 บาท
87 23 ม.ค. 2569
SME D Bank เคียงข้างช่วยเอสเอ็มอีไทย เดินหน้าจัด “SME D Market” ตลอดปี 2569 ประเดิม 26-28 ม.ค.นี้ รวมสุดยอดสินค้าดีให้ชอปจุใจ ปลุกพลังเศรษฐกิจให้คึกคัก
83 23 ม.ค. 2569
คุณสมบัติผู้ที่สามารถสมัครสอบภาค ก. ปี 2569 ได้ที่นี่ ใครสอบได้บ้าง วุฒิไหนที่เปิดสอบบ้าง มาดูกันเลย
170 12 ม.ค. 2569
กรุงไทย ส่งต่อความสุขวันเด็กแห่งชาติ 2569 ชวนเด็กไทยออมเงินอย่างสนุก
113 10 ม.ค. 2569
ธอส. มอบของขวัญปีใหม่ตอบแทนลูกค้าผ่อนชำระดี 48 เดือน รับเงิน 1,000 บาท
543 26 ธ.ค. 2568
กระทรวงการคลังย้ำ ใช้จ่ายคนละครึ่ง พลัส ภายในวันที่ 31 ธันวาคม 2568
168 26 ธ.ค. 2568
กรมทางหลวง แนะนำเส้นทางเลือกจากกรุงเทพฯ สู่ภูมิภาคต่าง ๆ ช่วงเทศกาลปีใหม่ 2569 เพื่อให้ผู้ใช้ทางได้รับความสะดวกรวดเร็วในการเดินทาง
503 26 ธ.ค. 2568
ดูเพิ่มเติม
 
หาเพื่อนไลน์
ไอเดียบ้านสวย
เรียนภาษาอังกฤษออนไลน์
หางานราชการ
  English
TOEIC กับ การขึ้นเงินเดือน GED VS กศน ไทย (สอบเทียบไทย) แนะนำที่เรียน IELTS ยอดนิยม ของ เด็กอินเตอร์ TOEIC Online GED CU-TEP SAT
 
บทความกลุ่มเดียวกัน
กำลังโหลด ...